QSM11-C400 Industrial Engine
XCEC QSM11-C400 Industrial engine is a 6-cylinders in line, 10.8 liter four-strokes engine with 125 mm bore and 147 mm stroke. Equipped with Electrically Control High-pressure Common Rail, engine comes with turbocharger and Air- Air Intercooler.
The prime power for at 2100 RPM of XCEC QSM11-C400 Industrial engine is 400 HP.
As part of EMAC, ConeMac provides industrial power pack solution that integrated with air intake, air exhaust, cooling system, control system, transmission and hydraulic accessories, We also supplying special products such as explosion proof engine, generator and water pump set, as well as ultra-low temperature condition engine power pack.
We provide full life cycle services for all customers, from design to power system supply, from installation to commissioning, from after-sales service training to spare parts supply, from trouble shooting to overhaul technical support.
Advantages of XCEC QSM11-C400 Industrial Engine
-
Electronic control technology effectively solves the problems of engine running, loading and turning, white smoke, etc.; at the same time, the three-stage fuel filter is used to better protect the engine fuel system, and systematically improve the reliability and durability of the engine.
-
The integrated design of “one piece with multiple functions” makes the number of parts and components less than about 25 % less than that of the same type of engine, fewer connections, and higher engine reliability. The main bearing area is about 30 % than that of the same type of engine, which can guarantee the engineering The machine still has a long working life under high-load working conditions.
-
Compared with the same type of engine, the torque reserve coefficient is larger and the power is stronger, which can meet various complex working conditions.
-
Turbocharger with wastegate valve, effectively improving engine power reserve and transient response.
-
Better environmental adaptability After a large number of severe environmental tests such as plateaus, high heat, high humidity, and extreme cold, it can easily cope with various extreme working conditions.
Technical Specifications
| Engine Model: | QSM11-C400 |
| Engine Type: | 6 Cylinders, in Line |
| Displacement: | 10.8 L |
| Rated Speed: | 2100 RPM |
| Rated Power / Speed: | 400 HP @ 2100 RPM |
| Peak Torque: | 1898 N.m @ 1400 RPM |
| Fuel System: | Celect Electronic |
| Aspiration Method: | Turbocharged & Air-Air Intercooler |
| Emission Standard: | Euro stage III |
| Bore * Stroke: | 125 mm × 147 mm |
| Packing Size(L * W * H): | N/A |
| Weight , Net Dry: | N/A |
| Lead Time: | 15 – 30 Working Days |
| Payment Terms: | T/T ,L/C |
| Engine Model | Engine Speed | Output Power | Torque | Compression Ratio | Fuel System |
| QSM11- C290 | 2100 RPM | 290 HP | 983 N.m | 16.3 : 1 | Celect Electronic |
| QSM11-C290-II | 2100 RPM | 290 HP | 1478 N.m | 16.3 : 1 | Celect Electronic |
| QSM11-C300 | 2100 RPM | 300 HP | 1017 N.m | 16.3 : 1 | Celect Electronic |
| QSM11-C300-II | 2000 RPM | 300 HP | 1575 N.m | 16.3 : 1 | Celect Electronic |
| QSM11-C300-III | 2100 RPM | 300 HP | 1424 N.m | 16.3 : 1 | Celect Electronic |
| QSM11-C315 | 2100 RPM | 315 HP | 1068 N.m | 16.3 : 1 | Celect Electronic |
| QSM11-C330 | 2100 RPM | 330 HP | 1674 N.m | 16.3 : 1 | Celect Electronic |
| QSM11-C335 | 2100 RPM | 335 HP | 1036 N.m | 16.3 : 1 | Celect Electronic |
| QSM11-C335-II | 2100 RPM | 335 HP | 1674 N.m | 16.3 : 1 | Celect Electronic |
| QSM11-C335-III | 2000 RPM | 335 HP | 1790 N.m | 16.3 : 1 | Celect Electronic |
| QSM11-C335-IV | 2100 RPM | 335 HP | 1674 N.m | 16.3 : 1 | Celect Electronic |
| QSM11-C335-V | 2100 RPM | 335 HP | 1674 N.m | 16.3 : 1 | Celect Electronic |
| QSM11-C340 | 1800 RPM | 340 HP | 1345 N.m | 16.3 : 1 | Celect Electronic |
| QSM11-C345 | 1900 RPM | 345 HP | 1710 N.m | 16.2 : 1 | Celect Electronic |
| QSM11-C350A | 2100 RPM | 350 HP | 1186 N.m | 16.3 : 1 | Celect Electronic |
| QSM11-C350B | 2000 RPM | 350 HP | 1246 N.m | 16.3 : 1 | Celect Electronic |
| QSM11-C350-II | 2000 RPM | 350 HP | 1830 N.m | 16.3 : 1 | Celect Electronic |
| QSM11-C360 | 1800 RPM | 360 HP | 1708 N.m | 16.3 : 1 | Celect Electronic |
| QSM11-C360A | 1800 RPM | 360 HP | 1424 N.m | 16.3 : 1 | Celect Electronic |
| QSM11-C360B | 2100 RPM | 360 HP | 1220 N.m | 16.3 : 1 | Celect Electronic |
| QSM11-C375 | 2100 RPM | 375 HP | 1272 N.m | 16.3 : 1 | Celect Electronic |
| QSM11-C375-II | 2000 RPM | 375 HP | 1898 N.m | 16.3 : 1 | Celect Electronic |
| QSM11-C375-III | 2100 RPM | 375 HP | 1898 N.m | 16.3 : 1 | Celect Electronic |
| QSM11-C385 | 1900 RPM | 385 HP | 1835 N.m | 16.2 : 1 | Celect Electronic |
| QSM11-C400 | 2100 RPM | 400 HP | 1356 N.m | 16.3 : 1 | Celect Electronic |
| QSM11-C400-II | 2000 RPM | 400 HP | 1898 N.m | 16.3 : 1 | Celect Electronic |
| QSM11-C400-III | 2100 RPM | 400 HP | 1898 N.m | 16.3 : 1 | Celect Electronic |
| QSM11-C400-IV | 2100 RPM | 400 HP | 1898 N.m | 16.3 : 1 | Celect Electronic |
| QSM11-C400-V | 2100 RPM | 400 HP | 1898 N.m | 16.3 : 1 | Celect Electronic |
| QSM11-C400-VI | 2100 RPM | 400 HP | 1898 N.m | 16.3 : 1 | Celect Electronic |
| QSM11-C400-VII | 2100 RPM | 400 HP | 1898 N.m | 16.3 : 1 | Celect Electronic |
| QSM11-C400-VIII | 2100 RPM | 400 HP | 1898 N.m | 16.3 : 1 | Celect Electronic |
| QSM11-C400-IX | 2100 RPM | 400 HP | 1898 N.m | 16.3 : 1 | Celect Electronic |
| QSM11- C420 | 1900 RPM | 420 HP | 1898 N.m | 16.2 : 1 | Celect Electronic |
| —END– | |||||
General Infomation of XCEX QSM11-C400 Industrial Engine |
|||
| Engine Model | QSM11-C400 | Emission Standard | Euro III |
| Curve&Datasheet | FR20001 | Displacement | 10.8 L |
| Compression Ratio | 16.3 : 1 | Packing Size(L * W * H) | N/A |
| No. Of Cylinders | 6 Cylinders, in Line | Wet Weight | N/A |
| Fuel System | Celect Electronic | CPL Code Revision | 8471 |
| Aspiration | Turbocharged & Air-Air Intercooler | Configuration | D353014CX03 |
| Rated Power | 400 HP @ 2100 RPM | Peak Torque | 1898 N.m @ 1400 RPM |
Performance Data of XCEX QSM11-C400 Industrial Engine |
|||
| Max. Low Idle Speed | 1200 RPM | ||
| Min. Low Idle Speed | 600 RPM | ||
| Min. Engine Speed for Full Load Sustained Operation | 1600 RPM | ||
Noise Emissions Data of XCEX QSM11-C400 Industrial Engine |
|||
| Estimated Free Field Sound Pressure Level At 15 M (50 Ft.) And Full-Load Governed Speed(Excludes Noise From Intake, Exhaust, Cooling System And Driven Components)—Top | 101.4 dBa | ||
| Estimated Free Field Sound Pressure Level At 15 M (50 Ft.) And Full-Load Governed Speed(Excludes Noise From Intake, Exhaust, Cooling System And Driven Components)—Right Side | 104.1 dBa | ||
| Estimated Free Field Sound Pressure Level At 15 M (50 Ft.) And Full-Load Governed Speed(Excludes Noise From Intake, Exhaust, Cooling System And Driven Components)—Left Side | 104.2 dBa | ||
| Estimated Free Field Sound Pressure Level At 15 M (50 Ft.) And Full-Load Governed Speed(Excludes Noise From Intake, Exhaust, Cooling System And Driven Components)—Front | 104.6 dBa | ||
| Estimated Free Field Sound Pressure Level At 15 M (50 Ft.) And Full-Load Governed Speed(Excludes Noise From Intake, Exhaust, Cooling System And Driven Components)—Rear | 121 dBa | ||
| ——END—— | |||
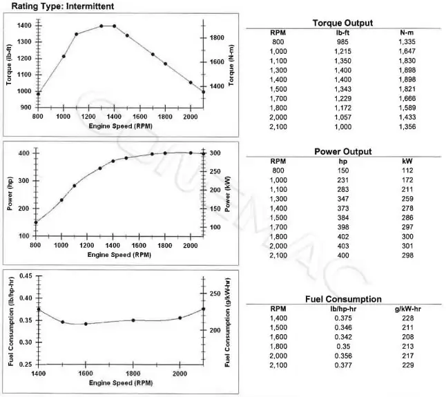
Performance Data Rated Power of XCEX QSM11-C400 Industrial Engine |
|||
| Rated Power | Max. Power | Torque Peak | |
| Engine Speed | 2100 RPM | 1800 RPM | 1400 RPM |
| Output Power | 400 HP, 298 kW | 402 HP ,300 kW | 373 HP,278 kW |
| Torque | 1,000 lb-ft ,1,356 N.m | 1,173 lb-ft ,1,590 N.m | 1,400 lb-ft ,1,898 N.m |
| Friction Horsepower | 61 HP, 46 kW | 45 HP,33 kW | 28 HP, 21 kW |
| Intake Manifold Pressure | 62 in-Hg ,208 kPa | 61 in-Hg ,206 kP | 64 in-Hg, 216 kPa |
| Turbo Comp. Outlet Pressure | 65 in-Hg, 219 kPa | 64 in-Hg, 216 kPa | 66 in-Hg ,223 kPa |
| Turbo Comp. Outlet Temperature | 374 deg F ,190 deg C | 364 deg F ,184 deg C | 396 deg F, 202 deg C |
| Inlet Air Flow | 1,039 ft3/min ,490 L/s | 915 ft3/min ,432 L/s | 774 ft3/min ,365 L/s |
| Charge Air Flow | 75 lb/min ,34 kg/min | 67 lb/min, 30 kg/min | 56 lb/min, 25 kg/min |
| Exhaust Gas Flow | 2,579 ft3/min, 1,217 L/s | 2,294 ft3/min ,1,083 L/s | 2,179 ft3/min, 1,028 L/s |
| Exhaust Gas Temperature | 915 deg F, 491 deg C | 905 deg F ,485 deg C | 1,081 deg F ,583 deg C |
| Max. Fuel Flow to Pump | 423 lb/hr ,192 kg/hr | 365 lb/hr, 166 kg/hr | 257 lb/hr ,117 kg/hr |
| Heat Rejection to Coolant | 6,663 BTU/min ,117.16kW | 6,035 BTU/min, 106.12 kW | 6,022 BTU/min ,105.89 kW |
| Heat Rejection to Fuel | 238 BTU/min ,4.19 kW | 235 BTU/min, 4.13 kW | 234 BTU/min ,4.11 kW |
| Heat Rejection to Ambient | 1,650 BTU/min ,29.01 kW | 1,523 BTU/min ,26.83 kW | 1,494 BTU/min ,26.27 kW |
| Heat Rejection to Exhaust | 17,250 BTU/min, 299.81 kW | 14,960 BTU/min,262.06 kW | 15,400 BTU/min ,270.8 kW |
| Steady State Smoke | 1.35 Bosch | 0.79 Bosch | 0.46 Bosch |

System Technical Data of XCEX QSM11-C400 Industrial Engine |
||
| Intake Air System | Max. Allowable Air Temperature Rise Over Ambient At Intake Manifold (Naturally Aspirated Engines) Or Turbo Compressor Inlet (Turbo-Charged Engines) | 30°F , 16.7℃ |
| Charge Air Cooling System | Max. Intake Manifold Temperature At 25 Deg C (77 F) Ambient | 140 deg F , 60 deg C |
| Max. Allowable Pressure Drop Across Charge Air Cooler And OEM CAC Piping (Impd) | 3 in-Hg /10 kPa | |
| Max. Intake Manifold Temperature Differential (Ambient To Imt) (Imtd) | 63 deg F , 35 ℃ | |
| Intake Manifold Temperature For Fan-On | 140 deg F , 60 deg C | |
| Max. Coolant Temperature For Engine Protection Controls | 215 deg F , 102 deg C | |
| Max. Coolant Operating Temperature At Engine Outlet (Max. Top Tank Temp) | 212 deg F , 100 deg C | |
| Exhaust System | Max. Exhaust Back Pressure: | 3 in-Hg / 10.1 kPa |
| Recommended Exhaust Piping Size (Inner Diameter) | 5 in-Hg/127 mm | |
| Lubrication System | Nominal Operating Oil Pressure – Min. Low Idle | 15 psi , 103 kPa |
| Nominal Operating Oil Pressure – Max. Rated Speed | 35 psi , 241 kPa | |
| Min. Engine Oil Pressure For Engine Protection Devices – Min. Low Idle | 10 psi , 69 kPa | |
| Fuel System | Max. Heat Rejection To Return Fuel At Max. Coolant And Inlet Fuel Temperature | 260 BTU/min , 4.57 kW |
| Max. Heat Rejection To Return Fuel At Max. Coolant And Inlet Fuel Temperature – Fuel Return Flow Rate Of | 587 lb/hr , 266 kg/hr | |
| Max. Heat Rejection To Return Fuel At Max. Coolant And Inlet Fuel Temperature – Fuel Return Temperature Prior To Cooler | 212deg F , 100deg C | |
| Max. Supply Fuel Flow | 606 lb/hr , 275 kg/hr | |
| Max. Return Fuel Flow | 587 lb/hr , 266 kg/hr | |
| Max. Fuel Inlet Pressure | 10 psi , 69 kPa | |
| Cold Starting System | Unaided Cold Start – Min. Cranking Speed | 110 RPM |
| Unaided Cold Start – Min. Ambient Temperature For Unaided Cold Start | 10 deg F , -12.2 deg C | |
| Unaided Cold Start – Cranking Torque At Min. Unaided Cold Start Temperature | 215 lb-ft , 292 N.m | |
| Aided Cold Start – Min. Ambient Temperature With Grid Heater Only | -10 deg F , -23 deg C | |
| Aided Cold Start – Min. Ambient Temperature With Ether Only | -10 deg F , -23 deg C | |
| Aided Cold Start – Min. Ambient Temperature With Coolant And Lube Heater Only | 0 deg F , -18 deg C | |
| Cold Starting Aids Available | Ether, Intake Manifold Heater, Block Heater, Oil Pan Heater | |
| ——END—— | ||
Note: All Above Data are Just for Reference, All Data Might Change Without Notices or Updates, Please Contact Our Sales Team to Confirm All Details Via WhatsApp or Email.
What's the Standard Scopes of Supply?
With full ranges of emission standard from Euro 2 to Euro 7, Dongfeng Cummins producing 12 series industrial engines, started from 3.9 liter engine, to 15 liter engine, covering the power range of 125HP to 650HP.
Dongfeng Cummins industrial engine customize developing configurations for big vehicle OEMs in China, based on each of requirement, Dongfeng Cummins producing dozens of different configuration engines with same engine model number, which only SO-Shop Order will be different with each other, the SO number is the identify number of the engine configuration of each model.
Even with same engine model, different SO number engine can have very different configuration with each other, with different prices. Some of SO-Shop Order is not available for commercial market, such as restricted models (Usually for military specifications).
EMAC offering most common, cost effective models which also able to process the production in Dongfeng Cummins, which usually have following accessories as standard configuration.
Scopes of Supply of DCEC Industrial Engine |
||||
| Fuel System | 1. Fuel Transfer Pump | Exhuast System | 1. Exhuast Manifold | |
| 2. High-Pressure Fuel Pump | 2. Turbocharger | |||
| 3. Fuel Filter | 3. Exhuast Elbow | |||
| Air Intake System | 1. Air Intake Manifold | Starting System | 1. Starter Motor | |
| 2. N/A | 2. Starter Rely | |||
| Cooling System | 1. Water Pump | Power Output System | 1. Flywheel | |
| 2. Engine Fan | 2. Standard Flywheel Housing | |||
| 3. Standard Radiator | 3. N/A | |||
| Lubricating System | 1. Oil Pump | Charging System | 1. Charging Alternator | |
| 2. Oil Filter | 2. N/A | |||
| Engine Shut-Down System | 1. Engine Fuel Shut-Off Solenoidr | Engine Mounting System | 1. Engine Mouting Bracket | |
| Engine Auiliary Accessories | 1. Air Compressor | |||
| ------END------ | ||||
What's the Available Optional Items?
Dongfeng Cummins only provides customize service for the large quantity orders or large OEMs, which means usually the order quantity are higher than 1000 units. For the small quantity engine project, EMAC provides customize services with our own resource and engineer team.
EMAC have rich experience on the customize developing, which provides abundant optional items based on the requirement of each project. The typical optional items are special Prestolite charging alternator, prestolite starter motor, Knorr Air compressor. Valeo air conditioning compressor, ECU output socket set, engine accelerate pedal etc.
Optional Accessories of DCEC Industrial Engine |
||||
| Air Intake System | 1. Air Intake Pre-Heater | Exhuast System | 1. Muffler & Bellows | |
| 2. Air Intake Shut-Off Valve | 2. Flame Trap | |||
| 3. Air Filter | 3. Spark Arrestor Type Muffler & Bellows | |||
| 4. Air Intake Pre-Filter | 4. Dpf System | |||
| 5. Air Filter Alarm System | 5. N/A | |||
| Fuel System | 1. Coarse Filter | Lubricating System | 1. Oil Pre-Heater. | |
| 2. Fuel Pre-Heater | 2. N/A | |||
| Starting System | 1. Manual Magnetic Dc Contactor | Cooling System | 1. Silent Type Radiator | |
| 2. Dual Ears Flywheel Housing | 2. Plateau Radiator | |||
| 3. Spring Starter Motor | 3. Salt-Spray Resistant Radiator | |||
| 4. Air Starter Motor | 4. Coolant Pre-Heater | |||
| 5. Hydraulic Starter Motor | 5. Jacket Water Heater | |||
| 6. Manual Magnetic Dc Contactor | 6. N/A | |||
| Engine Auiliary Accessories | 1. Hydraulic Oil Pump | Control System | 1. Can Add Engine Monitoring System, Contro System With Wiring Harness. | |
| 2. Air Conditioner Compressor | 2. Can Add Self-Protection System that Integrated with Alarm System. | |||
| Power Output System | 1. Clutch | Engine Mounting System | 1. Shock Absorber Pad | |
| ------END------ | ||||
Committed to Providing Stable and Reliable Premiem Power System for Global Construction Machinery Manufacturer Partners, ConeMac is A Sub-Brand of the EMAC Group that Focuses on Construction Equipment Application.ConeMac's Ranges of Products Mainly Inclduing Marine Construction Engines Power Pack, Construction Equipment Gearbox, Gear Reducer, Explosion-Proof Engines, Generator Set and Water Pump Set for Mining, Oil and Gas Field.For More Information of Our Industrial Power System Products, You Are Welcome to Visit ConeMac Homepage: Conemac.cn
What's the Modifiable Items and Scopes?
As explained in the standard scopes of supply, Dongfeng Cummins not able to provide customize developing for small quantity projects or small OEMs, so EMAC helps SME OEMs to provide customize services, not only providing additional optional items, but also provides customize modification services to meet their requirements based on the exisiting engine SO number.
As flexible service ability is our core advantages, EMAC is very experienced and good at providing customize services, the common customize services are as below:
1: AIr Intake System: Change the air intake direction.
2: Air Exhuast System: We are able to change the turbocharger direction as the interaction on installation could be occured, also change change the air exhuast direction.
3: Lubricating System: Modify lubricating system is one of the most common requirement from customer, we can provide flat-type engine oil pan, to lower down total engine height, which usually required for special vehicles. For the standard engine oil pan, we also can change the direction of the engine oil pan.
4: Cooling System: There are lots of options for the engine cooling system, for the engine fan, we can provide customize for the material of engine fan (plastic fan or steel fan), wind direction of the engine fan (blower fan or suction fan ) and types of engine fan (mechanical fan or electric control fan).
5: Power Output System: Most of electronic controlled Dongfeng Cummins industrial engines are comes with SAE#1 flywheel housing now, while lots of customers need SAE#2 flywheel because of the housing of transmissio is SAE#2, so we have to provide customzie services for those customer, which need to modify flywheel housing, flywheel and starter motor, we also have PTO integrated type flywheel housing available, which can output the whole power of the engine from the PTO on the flywheel housing, we can also provide modification of the mounting side of the starter motor.
6: Electric System: All of Dongfeng Cummins engines are comes with standard 24V electric system, while some customer need to modify the electric system into 12V, we can also modify the starter motor and alternator into appointed brand or appointed specifications.
EMAC is your reliable professional power system partner, feel free to contact our services team to get detailed information about our standard scopes of supply, optional items and modifiable parts for our Dongfeng Cummins industrial engine, we are ready to explore the journey of our cooperation.
Modifiable Components of DCEC 4BT3.9-C80 Industrial Engine
|
||||
| Air Intake System | 1. Installation Position of Air Filter | Charging System | 1. 12 V Charging Alternator for 12 V Electric System | |
| 2. Upgrade to Heavy-Duty Type Air Fitler | 2. Explosion-Proof Charging Alternator | |||
| 3. N/A | 3. Upgrading to Specified Brand and Speicifications of Charging Alternator | |||
| Exhuast System | 1. Water-Cooled Exhuast Manifold | Lubricating System | 1. Oil Pan Position | |
| 2. Water-Cooled Turbocharger | 2. Number of Dipstick | |||
| 3. Can Modify Installation Position and Direction of Turbocharger | 3. Position of Dipstick Can Choose from 6 Positions | |||
| 4. N/A | 4. Can Modify Oil Filter to be Remote Installation | |||
| Engine Shut-Down System | 1. 12 V Solenoid for 12 V Electric System | Starting System | 1. Upgrading to Specified Brand and Speicifications of Starter Motor | |
| 2. Explosion-Proof Solenoid | 2. 12 V Starter Motor for 12 V Electric System | |||
| Fuel System | 1. Upgrade to Fuel Fitler that Integrated with Fuel Transfer Pump and Fuel Pre-Hearter | Engine Auiliary Accessories | 1. All of auxiliary System can Choose Specified Brands and Specifications | |
| 2. N/A | 2. Additional Auxiliary Systems Can be Added for Special Applications | |||
| Cooling System | 1. Can Modify Engine fan Into Blower Fan or Suction Fan | Power Output System | 1. Can Modify Size of Flywheel Housing and Flywheel | |
| 2. Can Modify Central Position of Engine Cooling Fan | 2. Dual-Ear Flywheel Housing (For Twin-Starter System) | |||
| 3. Can Choose Type of Engine Fan From Mechanical Type or Electric Type | 3. Some of Models can Modify Flywheel Housing Into PTO Integrated Type | |||
| 4. N/A | 4. Engine Have Connecting Port of PTOs, That Able to Provide Power Output | |||
| Engine Mounting System | 1. Can Modify Engine Mouting Bracket | |||
| ------END------ | ||||
How to Order Engine to Replace Your Old Engine?
Type A: Engine Replacement Requirement (Original Engine is Dongfeng Cummins Engine).
This is most simple demand case, you just need to provide us the original engine name plate, and then we can easily check and confirm what exactly you need, and we also ensuring that the engine from us will be 100% same with your original engine. (In some case that the vehicle manufacturing modify the engine on their own, we are not able to supply the parts or the condition that modified by the vehicle manufacturer)
Type B: Engine Replacement Requirement (Original Engine is Cummins Engine but produced in UK, USA or other Cummins engine plant).
EMAC have rich experiences in replace the UK, USA or other engine plant produced engine, with Dongfeng Cummins produced Cummins engines, we required the original engine name plate photo to obtain the related information (at least we will need engine serial number, with engine model name only is useless for us, we are not able to provide quotation with engine model name only for the replacement project), and then we can check out the BOM list and all accessories of your original engine serial number, and then we can check and compare with the BOM list of our Dongfeng Cummins produced engine, choose the most closest SO number engine, and modify the parts that not same with your original engine, we have delivered hundreds of cases of replace the customer's original engine that produced in Cummins UK, USA or other engine plants with Dongfeng Cummins produced engines, you can refer to our video introduction on Youtube: https://youtu.be/dYVgRM5NsUo
We can NOT guarantee the engine produced by Dongfeng Cummins is exactly same with your original engine, but we can guarantee that all of engines from EMAC will have no problem with installtion and performance, which all of engines can works very well after replacement.
Type C: Engine Replacement Requirement (Original Engine is other brnad engines even gasoline engines).
EMAC also have rich experiences in replace the engine that not Cummins installed, these engines can be other brands such as Deutz, Caterpillar, Perkins, Komatsu or others, we even had experiences of replace gasoline engine with Dongfeng Cummins produced diesel engines.
This kind of appliaction is more complex and quite risky, EMAC can't do much thing due to lacking of information, the only thing we can guarantee is the performance after replacement, we check and compare the engine performance curve of original engine and our Dongfeng Cummins engine, and then we select the most suitable model for replacement. Due to we are lacking of the installation spaces and related accessories, we will send the both CAD and 3D drawing for our recommend engine model, and then customer have to evaluate the risky of replace the original engine with our engine, especially the risky of space, the possibile interactive when installation, and the risky of modify related coolant pipe, air pipes and wiring harness. Normally this kind of request consuming lots of energy and resource for us to carry on, also quite risky for us, so we will not work on the replacement quantity that below 50 units.
When your requirement is replacement, please tell our customer service team of what type of replacement you need, and provide us original engine name plate, the engine name plate is the necessary material before we start our business negotiations, we will NOT reply to all inquiry that even can't provide engine name plate.
How to Choose the Right Dongfeng Cummins Industrial Engine for You?
To choose a suitable engine for truck, bus or special vehicle manufacturer is quite simple, because the buyer is the manufacturer, so usually they are quite flexible with space, pipes and wiring connections.
The following process are the standard process for us to select a suitable engine model for truck, bus or special vehicle manufacturer demand.
Step 1: We need basic information of the required engine, including rated power, rated speed and emission standard of the required engine.
Step 2: EMAC will evaluate the requirement and select the suitable engine model for customer, with engine data sheet, engine performance curve, CAD darwing, 3D model and budgetary quotation provided back to customer.
Step 3: Customer should check and compare the engine data sheet, performance curve and related drawing and confirm all details one by one. Most important thing is confirm the performance curve suitable for the requirement.
Step 4: After engine confirmed, we have to check and confirm the specifications of accessories one by one carefully, like the electric system specifications (12V or 24V), the detailed specifications of starter motor, charging alternator, air compressor, power steering pump, A/C compressor etc.
Step 5: Confirming the accessories positions and connections, customer need to check and confirm all positions are suitable for the project, such as engine fan, turbocharger, oil pan position, and connections of air pipe, coolant pipe, wiring harness etc.
Step 6: After confirming the engine performance, position, connection and specifications of all accessories, we will be able to provide accurate quotation for prototype and batch order. Prototype is strongly recommend to start the cooperation, to avoid the possible problem, risky on the engine with batch order.
Notes:
1: Technical support including technical training, onsite installation and commissioning services are avaiable with additional chargers.
2: We are able to supply complete powertrain system, including engine, transmission, transfer, axle, suspension etc, engine with transmission is highly recommended, because if we supply both engine and transmission, we can run simulations for the vehicle, which we usually will provide customer a simulation report, with the simulated result of Balanced Maximum Vehilce Speed and Maximum Grade Ability at different speed.
3: EMAC able supply complete chassis that integrate all powertrain system together, which can greatly reduce the manufacturer's design works and reduce the system mismatching risky.
Tips of Dongfeng Cummins Industrial Engines!
Dongfeng Cummins is one of 50:50 joint venture of Cummins in China, its official Cummins factory that following high Cummins USA production and quality control standard, the Dongfeng Cummins factory swap every 5 years between appointed employee from Dongfeng Motor and Cummins. For more details, you can refer to the company introduction of DCEC-Dongfeng Cummins Engine Company.
Started the production of Cummins engines in China in 1980s, Cummins products has been in China for over 40 years, thousands of people have worked for Cummins China and some of them are very skilled experienced engineer, some of them resigned from Cummins to set up their own small workshops or assembly factories that focusing on producing copy Cummins engines.
Price is always not the problem for Chinese suppliers, there are many tickies to lower down the engine prices, such as supply self-rebuild engine as new engine, supply official RECON engine from Cummins as brand new engine, assembly the fake engine with after-market parts, supply lower power model engine and change the name plate etc. You can find plenty of suppliers on alibaxx.com with various prices, the classic Chinese business style is tell you that he give you very low price and not make profit, how can you believe a businessman will make business that have no profit? They gave you low price not becuase they share their profit to you?
As a matter of fact, Chinese supplier often make their profit much more higher by selling the low quality copy products as genuine brand new products! Always remember YOU GET WHAT YOU PAID!
The key point of dealing with Chinese supplier, is to find and choose reliable business partner that will not cheat you for short-term business, but with vision of build long-term career and life-time partnership, EMAC is one of the reliable partner that not chasing for short-term high profit, but we cares our decades of good reputation and we working with all business partners not as supplier and customers, but as close friend and brothers.
FAQ of Dongfeng Cummins Industrial Engines?
DCEC is the short name of Dongfeng Cummins Engine Company, take the first letter of each word, it comes with DCEC as short name, for more details about DCEC, you can refer to the company introduction of DCEC-Dongfeng Cummins Engine Company.
2: Does your engines copy products?
This question is quite often from customer that not familiar with Cummins, Cummins have over 20 joint ventures in China now, and 6 of them are engine joint venture, which Cummins owns 50% share of all of those 6 engine plants, so all of the Cummins factories in China are genuine Cummins factory, that following high Cummins USA production and quality control standard. EMAC is the business partner of DCEC, and we are supplying powertrain and engine power pack based on genuine brand new engines from Dongfeng Cummins for all different applications, EMAC is a reliable and professional power system solution provider that offering abundant various options.
3: Why there are so many companies selling Cummins engines?
There are plenty of companies selling Cummins engines in China, especially on the B2B platform, such as alibaxx.com, you can find plenty suppliers there with attractive prices, Cummins products has been in China for over 40 years, thousands of people have worked for Cummins China and some of them are very skilled experienced engineer, some of them resigned from Cummins to set up their own small workshops or assembly factories that focusing on producing copy Cummins engines. You should be careful of being cheated by the attractive prices with copy or rebuild products.
4: How can I identify if the engine genuine or not?
Cummins keep working on the updating its identification system, technically, there are serial number on all key components of Dongfeng Cummins engines, including cylinder block, cylinder head, turbochager, fuel pump, starter motor, alternator, you can collecting the serial number (NOT part number), and then call DCEC call service center to identify if all the numbers are matching to the original number or not. EMAC continuously updating the latest Cummins identification system, you are welcome to following our website or keep in touch with our customer services team to get latest information from Cummins.
5: What's the warranty policy for the engines supplied by EMAC?
EMAC following standard Dongfeng Cummins warranty policy, which will update sometimes, you can following us to get the latest warranty policy from Dongfeng Cummins. Generally EMAC only afford the defective parts cots and shipping costs for the warranty claims, labor costs and transportation costs are not covered in the warranty.
However, EMAC is building our own independant after-sales service system now, which aims to build a global service network, with resouces of global repair and engineering network, which we believe can bring all business partner benifit in future, helping all of OEM manufacturers expanding their market into global market without worries of lacking after-sales service network. For more details about our Global Service, you can visiting www.global-service.com.
6: How about the future parts supply for the engines? Are you able to supply parts?
As the support team of EMAC's business scope, PartMac is our own brand that focusing on genuine parts directly from all brand factories.
All of EMAC’s partners are facing big challenges with sourcing original spare parts in China. Committed to providing truthworthy and professional after-sales support and parts supply, PartMac is a sub-brand of EMAC group that focusing on parts business. Stick to original parts only, PartMac can’t give any solution on CHEAP PARTS, but you don’t need to worry about any quality issues with every single parts from PartMac.

Engine Sale Manual

Installation Drawing

Installation Manual

Operation Manual

Parts Catalogue

